我们知道,声音在传播途径中若碰到一个面积很大的障碍物时,它的能量一部分被障碍物反射,另一部分被障碍物吸收,还有一部分会透过障碍物传到另一侧去,因此也就造就了吸声与隔声两种不同的声学概念,具体如下:

●吸声与隔声所用的材料不同
吸声多用一些蓬松多孔的材料,隔声则使用密实而不透气的材料。
●吸声与隔声措施的衡量标准不一样
吸声所注意的是在屏障侧反射回来的声能的大小,反射声越小则衣示吸声效果越好;隔声所注意的是在屏障的另一侧透过的声能的多少,透过声能越小则隔声效果越好。在具体应用中,利用隔声材料或隔声构造隔绝噪声的效果比采用吸声材料的降噪效果要高得多。但是吸声材料的特有作用更多地表现在缩短、调整室内混响时间的能力上,这是任何别的材料代替不了的。
●在声学原理上完全不同.
吸声是指利用吸声材料或吸声结构,将透过的能量耗掉,减少反射声,从而降低容积内噪声。隔声,则是利用隔声结构将声音隔挡,减弱噪声的传递,使噪声环境与需要安静的环境分隔开,如降噪箱、隔声间、隔声屏等就是常用的隔声装置。已达到保证室内环境的私密性,降低外界声音的影响。
●吸声材料和隔声材料
对于单一声学材料(不是专门设计的复合材料)来说,吸声能力与隔声效果往往是不能兼顾的。如砖墙或钢板等,虽可以作为好的隔声材料,但吸声效果极差;反过来,如果拿吸声性能好的材料(如玻璃棉)做隔声材料,即使声波透过该材料时声能被吸收99%(这是很难达到的),只有1%的声能传播到另一空间,则此材料的隔声量也只有20dB,并非好的隔声材料。因此,把吸声材料误称为“隔音材料”是不对的。
●吸声材料
吸声材料是指吸声系数比较大的建筑装修材料。如果材料内部有很多互相连通的细微空隙,由空隙形成的空气通道,可模拟为由固体框架间形成许多细管或毛细管组成的管道构造。当声波传入时,因细管中靠近管壁与管中间的声波振动速度不同,由媒介之间速度差引起的内摩擦,使声波振动能量转化为热能而被吸收。
吸声材料多用纤维多空吸声材料,如玻璃棉、岩棉、矿碴棉、棉麻和人造纤维棉、特制的金属纤维棉等等,也包括空隙连通的泡沫塑料之类。吸声性能与材料的纤维空隙结构有关,如纤维的粗细(微米至几十微米间为好)和材料密度、材料内空气容积与材料体积之比(称空隙率,玻璃棉的空隙率在90%以上)、材料内空隙的形状结构等。从使用的角度,可以不管吸声的机理,只要查阅材料吸声系数的实验结果即可。当然在选用时还要注意材料的防潮、防火以及可装饰性等其他要求。一般平板状吸声材料的低频吸声性能差是普遍规律。一种改进的方法是将整块的吸声材料切割成尖劈形状。当声波传播到尖劈状材料时,从尖部到基部,空气与材料的比例逐渐变化,也即声阻抗逐渐变化,声波传播就超出平板状材料有效厚度的限制,达到材料的基部,从而可改善低频吸声性能。当然这样的吸声结构一般不宜用于室内装修,主要用于声学实验室或特殊的噪声控制工程。
●共振吸声结构
共振吸声结构利用不同的共振吸声机理,设计各种类型的共振吸声结构,使吸收峰值选择在所需频率位置,满足不同频率吸声量的要求,特别是解决低频吸声量不足的问题。主要利用一下几种专业结构衣达到吸声效果:薄层多孔性吸声材料的共振吸声,薄膜共振吸声,薄板共振吸声,穿孔板共振吸声结构。
●双层隔声结构
根据质量定律,频率降低一半,传递损失要降6dB;而要提高隔声效果时,质量增加一倍,传递损失增加6dB。在这一定律支配下,若要显著地提高隔声能力,单靠增加隔层的质量,例如增加墙的厚度,显然不能行之有效,有时甚至是不可能的,如航空器上的隔声结构。这时解决的途径主要是采用双层以至多层隔声结构。一般双层隔声结构的两层,不用相同厚度的同一种材料,以避免这两层出现相同的吻合频率。同时,在声学设计和施工中要特别注意,两层之间不能有刚性连接。破坏了“固体——空气——固体”的双层结构,把两层固体隔层由刚性构件相连,使两个隔层的振动连在一起,隔声量便大为降低。尤其是双层轻结构隔声,相互之间必须相互支撑或连接时,一定要用弹性构件支撑或悬吊,同时注意需要分割的两个空间之间,不能有缝或孔相通。“漏气”就要漏声,这是隔声的实际问题。
●隔声材料
不透气的固体材料,对于空气中传播的声波都有隔声效果,决定隔声效果的好坏最根本的一点是取决于材料单位面积的质量。
隔层材料在物理上有一定弹性,当声波入射时便激发振动在隔层内传播。当声波不是垂直入射,而是与隔层成一角度θ入射时,声波波前依次到达隔层表面,而先到隔层的声波激发隔层内弯曲振动波沿隔层横向传播,若弯曲波传播速度与空气中声波渐次到达隔层表面的行进速度一致时,声波便加强弯曲波的振动,这一现象称吻合效应。这时弯曲波振动的幅度特别大,并向另一面空气中辐射声波的能量也特别大,从而降低隔声效果。
4、消声、吸声原理及阻尼减振
消声原理
消声原理是利用吸声材料和护面材料及隔声材料设计成一定结构——消声器来降低噪声的一种方法。对所有的空气动力性噪声,噪声源采取消声治理后,要求既要有适宜的消声量(即声学性能),同时对设备的运行不能有明显的影响(即良好的空气动力性能)。消声器是一种既能使噪声得到有效的衰减又能保证气流正常通过的一种设备。
阻性消声器的消声量参照以下经验公式计算:

吸声原理
利用吸声处理在噪声传播途径上进行控制是一种传统常用而且有效的方法。当室内声源发出的声音遇到墙面、顶棚、地坪及其它物体表面时,都会发生反射现象。声波在传播过程中遇到各种材料时,都会发生一部分声能被反射,一部分声能向材料内部传播并被吸收,一部分声能透过材料在向外传播。在噪声源周围设置了隔声围护结构的内侧壁面上做必要的吸声处理,不但可有效加强隔声围护结构的隔声量,而且可降低室内的混响声达3~8dB(A),同时改善操作人员的操作环境,起到一定的劳动保护作用。
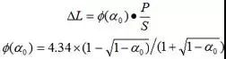
房间内做吸声处理后的较大吸声降噪量一般参照下式计算:

房间内做吸声处理后的平均吸声降噪量一般参照下式计算:

阻尼减振
降噪措施在薄板隔声维护结构的隔声背板上涂刷特殊配比的阻尼材料能有效增加隔声结构的内阻尼,它能使隔声构件的动能转化为热能,从而减少了构件的振动,因而阻尼对提高隔声构件尤其是薄板隔声结构的隔声量有明显的作用,特别是低频共振时的隔声量。